二叉树
- 前言
- 一、二叉树的结构介绍
- 二、二叉树的遍历(递归)(易)
- 1.前序遍历
- 2.中序遍历
- 3.后序遍历
- 三、二叉树的遍历(迭代)(偏难)
- 1.利用队列进行迭代 (易)
- 2.非递归实现前中后序(难)
- 2.1前序遍历
- 2.2中序遍历
- 2.3后序遍历
- 总结
前言
首先我们这里所讲述的二叉树是最为常见的,本章主要带大家了解这种二叉树,并且学会它常见的遍历方式(递归,迭代),由于普通的二叉树没有插入删除的意义,到了AVL,红黑树这种平衡二叉搜索树才有插入删除的意义,所以我们在本章节主要是带大家先简要理解这种结构,对于二叉树有一个初步的认识。
一、二叉树的结构介绍
// 对int typedef 是因为二叉树的节点可以存放任意的值,这里是为了方便后续有需要方便调整
typedef int BTDataType;
// 二叉树
typedef struct BinaryTreeNode
{
//二叉树的每一个节点都有一个值
BTDataType val;
//二叉树的每一个节点都有指向左孩子(右孩子)的指针
struct BinaryTreeNode* left;
struct BinaryTreeNode* right;
}BTNode;

这就是一个常见的二叉树
二、二叉树的遍历(递归)(易)
1.前序遍历
对于一棵树,树的本身性质让他非常适合递归,当我们想要递归一颗树的时候,我们可以访问它的根,左子树,右子树,注意是左子树不是左孩子,左子树又可以分成根,左子树,右子树


前序遍历也是标准的深度优先搜索模式:遍历当前节点,再往深处走,走到底就回来尝试新的方法❗️❗️❗️❗️

❗️❗️❗️接下来我们尝试创建这样上图所示的树
// 创建节点并进行初始化
BTNode* BuyNode(BTDataType x)
{
BTNode* newnode = (BTNode*)malloc(sizeof(BTNode));
newnode->left = NULL;
newnode->right = NULL;
newnode->val = x;
return newnode;
}
//手动创建一棵树
BTNode* CreateTree()
{
BTNode* nodeA = BuyNode('A');
BTNode* nodeB = BuyNode('B');
BTNode* nodeC = BuyNode('C');
BTNode* nodeD = BuyNode('D');
BTNode* nodeE = BuyNode('E');
BTNode* nodeF = BuyNode('F');
BTNode* nodeG = BuyNode('G');
nodeA->left = nodeB;
nodeA->right = nodeC;
nodeB->left = nodeD;
nodeB->right = nodeE;
nodeC->left = nodeF;
nodeC->right = nodeG;
nodeD->left = NULL;
nodeD->right = NULL;
nodeE->left = NULL;
nodeE->right = NULL;
nodeF->left = NULL;
nodeF->right = NULL;
nodeG->left = NULL;
nodeG->right = NULL;
return nodeA;
}
❗️❗️❗️我们可以先预测结果,如果将NULL也打印出来的话,上面得到的前序遍历的结果应该是
A B D NULL NULL E NULL NULL C F NULL NULL G NULL NULL
void PreOrder(BTNode* root)
{
//我们这里用打印的方式表示遍历这个节点的值
if (root == NULL)
{
//如果这棵树本身是空,或者递归到空的位置我们打印NULL
//再返回上一层
printf("NULL ");
return;
}
//访问当前节点
printf("%c ", root->val);
//访问当前节点的左子树
PreOrder(root->left);
//访问当前节点的右子树
PreOrder(root->right);
}

看不懂的同学可以按照上面来那张图片想一想
2.中序遍历
❗️❗️❗️
对于中序遍历我们先走左子树,根,右子树
例子:ABCDEFG(层序)
我们也可以预测中序遍历的结果:
NULL D NULL B NULL E NULL A NULL F NULL C NULL G NULL
void Inorder(BTNode* root)
{
if (root == NULL)
{
printf("NULL ");
return;
}
//访问左子树
Inorder(root->left);
//根
printf("%c ", root->val);
//右子树
Inorder(root->right);
}

3.后序遍历
❗️❗️❗️
后序遍历:左右根
例子:ABCDEFG(层序)
我们也可以预测中序遍历的结果:
NULL NULL D NULL NULL E B NULL NULL F NULL NULL G C A
void PostOrder(BTNode* root)
{
if (root == NULL)
{
printf("NULL ");
return;
}
//左子树
PostOrder(root->left);
//右子树
PostOrder(root->right);
//根
printf("%c ", root->val);
}
其实到这里大家应该都差不多会了,我们接下来讲讲迭代方式走二叉树
三、二叉树的遍历(迭代)(偏难)
1.利用队列进行迭代 (易)
❗️❗️❗️❗️❗️❗️
建议不会队列的同学看看这一篇:【数据结构】栈和队列,看完这一篇就够了(万字配动图配习题)
队列的代码:有需要的自取
#define _CRT_SECURE_NO_WARNINGS 1
#pragma once
#include<stdio.h>
#include<stdlib.h>
#include<assert.h>
struct BinaryTreeNode;
// 链式结构:表示队列
typedef struct BinaryTreeNode* QDataType;
typedef struct QListNode
{
struct QListNode* _next;
QDataType _data;
}QNode;//队列中结点的结构
// 队列的结构
typedef struct Queue
{
QNode* _front;
QNode* _rear;
}Queue;
// 初始化队列
void QueueInit(Queue* q);
// 队尾入队列
void QueuePush(Queue* q, QDataType data);
// 队头出队列
void QueuePop(Queue* q);
// 获取队列头部元素
QDataType QueueFront(Queue* q);
// 获取队列队尾元素
QDataType QueueBack(Queue* q);
// 获取队列中有效元素个数
int QueueSize(Queue* q);
// 检测队列是否为空,如果为空返回非零结果,如果非空返回0
int QueueEmpty(Queue* q);
// 销毁队列
void QueueDestroy(Queue* q);
void QueueInit(Queue* q)
{
assert(q);
q->_front = NULL;
q->_rear = NULL;
}
void QueuePush(Queue* q, QDataType data)
{
assert(q);
QNode* tmp = (QNode*)malloc(sizeof(QNode));
tmp->_next = NULL;
tmp->_data = data;
if (q->_rear == NULL)
{
q->_front = q->_rear = tmp;
}
else
{
q->_rear->_next = tmp;
q->_rear = tmp;
}
}
void QueuePop(Queue* q)
{
assert(q);
assert(!QueueEmpty(q));
QNode* first = q->_front->_next;
if (first == NULL)
q->_rear = NULL;//处理这一步
free(q->_front);
q->_front = first;
}
QDataType QueueFront(Queue* q)
{
assert(q);
assert(!QueueEmpty(q));
return q->_front->_data;
}
QDataType QueueBack(Queue* q)
{
assert(q);
assert(!QueueEmpty(q));
return q->_rear->_data;
}
int QueueSize(Queue* q)
{
assert(q);
int n = 0;
QNode* cur = q->_front;
while (cur)
{
n++;
cur = cur->_next;
}
return n;
}
int QueueEmpty(Queue* q)
{
assert(q);
return q->_front == NULL;
}
void QueueDestroy(Queue* q)
{
assert(q);
while (!QueueEmpty(q))
{
QNode* tmp = q->_front->_next;
free(q->_front);
q->_front = tmp;
}
q->_front = q->_rear = NULL;
}
我们走层序遍历需要怎么做呢?其实很简单,我们先入头结点入队列,然后每次在出队头元素之前把他的左孩子和右孩子带入节点,遍历队列直到队列为空。❗️❗️❗️❗️
//层序遍历
void LevelOrder(BTNode* root)
{
//我们借用之前写过的队列
Queue q;
QueueInit(&q);
QueuePush(&q, root);
while (!QueueEmpty(&q))
{
BTNode* first = QueueFront(&q);
//访问元素
if (first)
printf("%c ", first->val);
else
printf("NULL ");
//入下一个元素
if (first)
{
QueuePush(&q, first->left);
QueuePush(&q, first->right);
}
QueuePop(&q);
}
}
2.非递归实现前中后序(难)
❗️❗️❗️❗️❗️❗️❗️❗️❗️❗️❗️❗️❗️❗️❗️❗️
其实这三道题是非常类似的,我们先给大家讲最简单的前序遍历!!
2.1前序遍历
leetcode. 二叉树的前序遍历

前提提示:
一.这里的NULL我们不用访问,访问在这里相当于入一个数组(vector),不懂的同学先把他当成数组!
二. 以及这里所说的最左列为当前节点一直递归它的左子树,即上图的1 , 2,4

分析:我们想要利用栈对我们的二叉树进行前序遍历,我们可以观察前序遍历的时候会先遍历
1–>2–>4,我们一边遍历一边将遍历的值放入栈中看看。发现这棵树的话只剩下4,2,1的右子树就可以走完了!!!!

如何遍历右子树呢? 实际上我们观察**(3)这颗子树我们可以发现什么,我们没有办法通过一次操作遍历完右子树,但是我们可以把3这颗子树进行拆分,我们入它的最左列节点访问再进行入栈**,就相当于遍历了(3)的左子树与每个节点的根(细品),这个时候我们遍历(7)是不是就是一次操作就能解决了?其实还可以再分一次,分到像(5)的时候,当节点的右子树为空树的时候,我们就访问他!!!
重要:
一棵树一定能分到没有右子树的时候,这时访问当前节点相当于访问上一个根节点的右子树
一棵树一定能分到没有右子树的时候,这时访问当前节点相当于访问上一个根节点的右子树
一棵树一定能分到没有右子树的时候,这时访问当前节点相当于访问上一个根节点的右子树
就像访问5的时候是不是相当于访问了2的右子树?是的!
💖💖💖💖💖💖
上面没看懂,没关系,带大家再走一下每一个步骤
💖💖💖💖💖💖
这里再拆分一下每一个步骤
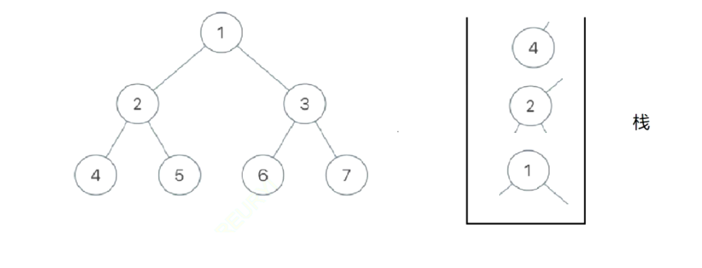
刚开始
第一步:我们就访问每一个节点并且入栈(将1,2,4入栈并且放入数组),这时候我们要拿出栈顶的4,将它的右子树的最左列入栈(NULL不入栈),我们重复此操作,到2的时候,我们将它的右子树(5)及其最左列入栈并且访问,并且把2出栈,这时候的栈只有(5,1)
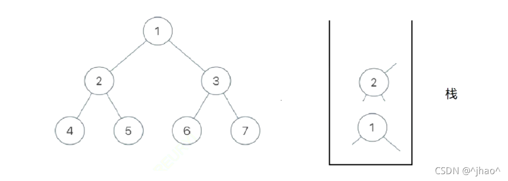
重复上述操作,取栈顶数据,将栈顶数据的右子树的最左列入栈之后将原栈顶数据出栈,这里5右子树为NULL不用入栈,我们栈里就只剩下1,接着入1的右子树的最左列,即3,6入栈
重复上述操作,取栈顶数据,将栈顶数据的右子树的最左列入栈之后将原栈顶数据出栈,6无右子树,就弹出了,到3的时候把3的右子树最左列带入(7),最后栈里面还有一个7
重复上述操作,取栈顶数据,将栈顶数据的右子树的最左列入栈之后将原栈顶数据出栈,把7出掉,结束!!!!
class Solution {
public:
vector<int> preorderTraversal(TreeNode* root) {
//利用栈进行迭代遍历
//思路:每次遍历当前节点(cur)的左子树,再进行入栈,最后从栈中依次取出以相同的方式遍历右子树
//可以先入最左的树
TreeNode* cur =root;
vector<int> retArr;//用来返回的答案
stack<TreeNode*> s;//利用栈进行迭代遍历
while(cur)
{
retArr.push_back(cur->val);
s.push(cur);
cur = cur->left;
}
//现在只要遍历栈当中的所有的右子树就遍历完所有树
//当然遍历每个右子树也不是一次就能搞定的,我们分解成遍历每个右子树和他的左子树,...在遍历他的右子树,就类似我们的递归遍历
while(!s.empty())
{
//我们可以对于栈当中的右子树一个一个处理
cur = s.top();
s.pop();
cur = cur->right;
//将右子树的最左列也都入栈
while(cur)
{
//每个右子树又会带出更多的右子树....
retArr.push_back(cur->val);
s.push(cur);
cur =cur->left;
}
}
return retArr;
}
};

//分析子过程,这里是第一步,将root即右子树的最左列入栈
while(cur)
{
//每个右子树又会带出更多的右子树....
retArr.push_back(cur->val);
s.push(cur);
cur =cur->left;
}
总结,我们面对这种题都可以先入该节点及它的最左列节点,然后我们上面这一段代码再去带出右子树当中的最左列,当我们带出来的时候相当于所有的根与左子树已经遍历完了,我们只用对右子树处理。右子树又可以被继续拆分!!!
while(!s.empty())
{
//我们可以对于栈当中的右子树一个一个处理
cur = s.top();
s.pop();
//取出当前节点所有的右子树,没有就在后面的循环中拿出这个值(相当于访问上一个根的右子树)
cur = cur->right;
//将右子树的最左列也都入栈
while(cur)
{
//每个右子树又会带出更多的右子树....
retArr.push_back(cur->val);
s.push(cur);
cur =cur->left;
}
}
2.2中序遍历
leetcode.中序遍历
中序遍历的逻辑类似,就是我们访问顺序左子树,根,右子树。
还是用这个例子来:访问栈顶的元素之后带出该元素的右子树的最左列,再删除原来的栈顶元素
我们一开始就可以访问4(左子树相当于访问了NULL),我们走到4访问再入右子树的最左列(这里没有),再将4出栈,然后我们2的左子树访问完了,我们就直接将2入到数组,将2的右子树带进去(即带2的最左一列),再将2出栈。如下图
这时候对5进行重复操作(即访问栈顶的元素之后带出该元素的右子树的最左列,再删除原来的栈顶元素),即像4的时候5的左子树也是NULL(5的左子树访问了),我们访问5,带入右子树(这里没有),出栈。这时候栈里只剩下1,我们访问1,再拿出它的右子树的最左列(3,6)
然后我们再访问6,同理上面(左子树访问过了),然后带出它的右子树(这里没有),将6出栈,带出6的右子树,(这里没有)。
这时候栈里面只剩下3,我们访问3,把他的右子树的最左列带进去,并且把3出掉,这时候栈里面就剩下一个7
最后访问7,然后入它的右子树(NULL不访问),把7出栈。
class Solution {
public:
vector<int> inorderTraversal(TreeNode* root) {
//类似前序遍历的迭代,只不过中序遍历是左根右
//所以我们我们入完最左列之后从里面取得时候在放入结果的vector就可以啦
TreeNode* cur =root;
stack<TreeNode*> s;
vector<int> retArr;
//先入最左列
while(cur)
{
s.push(cur);
cur=cur->left;
}
while(!s.empty())
{
//访问当前节点并且访问它的右子树
cur = s.top();
s.pop();
retArr.push_back(cur->val);
cur=cur->right;
while(cur)
{
s.push(cur);
cur=cur->left;
}
}
return retArr;
}
};
2.3后序遍历
leetcode.后序遍历
后序遍历会稍微难一些,我们在按照上面的逻辑去写的时候会出现一点问题,我们用画图的方式来剖析。
我们一开始还是将根以及它的最左列入栈,根据后序遍历的左右根。
观察4是可以访问的,访问完并且可以出栈,那么1.它的条件就是当前节点的右子树为空。
现在对于2来说,我们访问它的右子树,并且不能把2出掉,因为要访问完右子树才可以出,所以我们现在将2的右子树的最左列入栈
这个时候栈顶元素5的右子树为NULL,所以我们访问5,到了现在栈顶元素就是2了,我们人为肯定知道它的右子树已经遍历了,但是程序要识别就必须要有条件,我们只有一个条件就是当前节点的右子树为空才访问栈顶元素。
结论:第二个条件应该是什么呢,我们访问当前栈顶元素(2)的时候,我们可以设置一个前驱指针,指向我们上一个访问的节点,那么我们2的上一个访问的节点是谁呢?(5)!!!,我们就可以让 cur->right == prev 即当前节点的右子树是不是指向前驱指针,若是,则该cur(2)的右子树5已经访问完了。这样就能辨别当前栈顶元素的右节点是否有访问过。
那么这个是不是巧合呢,其实不是的,想一想,我们遍历(5)这颗子树的也是遵循后序遍历的原则,最后遍历的就是子树的根(5),所以前驱指针是指向右子树的根的。
class Solution {
public:
vector<int> postorderTraversal(TreeNode* root) {
vector<int> retArr;
if(root ==NULL)
return vector<int>();
stack<TreeNode*> s;
TreeNode* cur =root;
TreeNode* prev =root;
while(cur)
{
s.push(cur);
cur =cur->left;
}
//接下来遍历每棵树的右子树
while(!s.empty())
{
cur =s.top();
if(cur->right ==NULL || cur->right == prev)
{
retArr.push_back(cur->val);
prev =cur;
//表示当前节点的右子树访问完了,就更新prev然后pop掉
s.pop();
}
else
{
cur = cur->right;
while(cur)
{
s.push(cur);
cur =cur->left;
}
}
}
return retArr;
}
};
总结
💓💓💓
二叉树的初阶就在这里告一段落啦,大家觉得有帮助可以给博主一键三连,这对我真的很重要,谢谢啦。












